-->

Ad Unit (Iklan) BIG

cos 75° = ....

Post a Comment

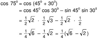
Tentukan nilai dari:

cos 75° = ….

Jawab:

Ingat 75° = 45° + 30°, maka:

—————-#—————-

Semoga Bermanfaat
Jangan lupa komentar & sarannya
Kumpulan Pertanyaan dan Jawaban
Kunjungi terus: brainly.katabijake.com OK! 🙂

Related Posts

Post a Comment

Subscribe Our Newsletter

Iklan

Close x Iklan